
Cet article est dédié aux femmes à part entière qui aiment faire de leurs propres mains, n'arrêtent pas d'apprendre et d'apprendre de nouvelles choses.
La couture des robes est un processus long et laborieux qui nécessite des connaissances précises et les compétences de base d'une couturière. La première étape très importante consiste à prendre des mesures. Le succès ultérieur dépend d’une approche compétente à ce problème. Ensuite, vous devez concevoir correctement le motif ("base" ou "base", comme on l'appelle) par les mesures prises. Et seulement après cela, vous pouvez passer directement à la couture. L’étape la plus difficile est la construction du modèle, nous allons donc l’étendre plus en détail.
Des patrons de vêtements prêts à l'emploi pour les femmes obèses peuvent être téléchargés gratuitement en quelques minutes sur le site Web de Burda et d'autres sources non moins connues, mais nous vous suggérons d'apprendre à les couper vous-même et à vous faire plaisir avec de nouveaux vêtements. nous pouvons dire que cet article est comme une boîte contenant de précieux conseils que vous avez réussi à trouver sur Internet.
Modèles pour les robes (pour les femmes obèses)
Si vous avez un motif de base d'une robe semi-adjacente, vous pouvez créer et coudre absolument tout ce que vous voulez. Des configurations simples avec la base aideront à coudre, connecter la tenue elle-même de toute complexité. Même le tricot et le crochet deviennent beaucoup plus faciles. Avec une description du motif et du motif principal, vous pouvez créer la robe de votre choix sur la photo.
Vidéo pour les femmes débutantes
Tutoriels vidéo pour les débutants avec une description détaillée de l'ensemble du processus.
Comment prendre des mesures
https://www.youtube.com/embed/m5sXhoctbqo
Leçon 1
https://www.youtube.com/embed/IvG58CsDqDc
Leçon 2
https://www.youtube.com/embed/ODtM3ba4iw4
Leçon 3
https://www.youtube.com/embed/Ko5RM2IlpIY
Leçon 4
https://www.youtube.com/embed/iZi6jQh68y0
Leçon 5
https://www.youtube.com/embed/OInj2-fFFyM
Leçon 6
https://www.youtube.com/embed/wkrXgz1WMOw
Leçon 7
https://www.youtube.com/embed/xqSSGxHrPbY
Leçon 8
https://www.youtube.com/embed/tyvbZmsehT4
Leçon 9
https://www.youtube.com/embed/4xTmA55NWxo
Leçon 10
https://www.youtube.com/embed/HKUchLNG3HU
Leçon 11
https://www.youtube.com/embed/jOk0stBOipg
Leçon 12
https://www.youtube.com/embed/yiPNI2fKM-A
Instructions de construction pas à pas (photo)
Coudre sur une machine ne prendra pas beaucoup de temps si vous êtes armé d'une "base", que nous vous aiderons à composer avec compétence. Nous prenons par exemple la taille 54.
Mesure:
- CI - la longueur du produit. De la septième vertèbre cervicale à la longueur désirée (100 cm).
- Gpr - Profondeur de l'emmanchure. De la septième vertèbre cervicale à la ligne des aisselles (21).
- Dst - La longueur du dos à la taille. De la septième vertèbre à la taille (39).
- Cc - la largeur du dos. Mesurée horizontalement par les omoplates, entre les coins supérieurs des aisselles (19.5).
- N - Demi tour de cou. Le ruban centimétrique doit passer le long de la base du cou, derrière la septième vertèbre cervicale, devant la cavité jugulaire (indentation) (19).
- Crl - Demi-poitrine 1. La ligne horizontale se trouve derrière les points saillants des omoplates, devant la base de la poitrine (49).
- Crll - Demi-poitrine 2. La ligne longe les points saillants des omoplates et de la poitrine (54).
- VRV - La taille de la solution de dégagement.La ligne verticale de la base de la poitrine au point le plus élevé (12).
- St - Demi taille. La ligne horizontale au point le plus étroit au niveau de la taille (47).
- Sam - Demi hanches. mesuré horizontalement par les points saillants des fesses avec une petite marge sur l’abdomen saillant (60).
- VR - La hauteur de la pousse. Parallèlement à la colonne vertébrale, de l’épaule à la base du cou, jusqu’à la ligne de la taille (41).
- Armée de l'air - La hauteur de l'épaule en arrière. Mesurée dans le dos depuis le point d'articulation du bras avec l'épaule jusqu'à la taille (36).
- Spr - La largeur de l'emmanchure. Mesurée horizontalement à la main: de l'endroit où le bras avec le tronc est articulé de l'arrière vers l'articulation du bras avec le tronc de l'avant (12, 5).
- Db - Longueur du côté. Mesurée à partir de l'arrière du bord supérieur de la règle située dans l'aisselle jusqu'à la ligne de taille (17).
- Dp - La longueur de l'épaule. Il est mesuré le long de l'épaule depuis le cou jusqu'à la connexion du bras avec le corps (13).
- Vg - hauteur de la poitrine. De la base du cou à la partie saillante de la poitrine (29.5).
- Piste d'atterrissage - La hauteur de l'épaule avant. Du point de liaison du bras avec l'épaule à la taille (35).
- Dpt - La longueur du devant à la taille. Mesurez de l'épaule à la base du cou à la taille (44).
- Cg - Mesurez horizontalement entre les points les plus saillants de la poitrine (11).
- Shp - Mesuré horizontalement au-dessus de la base de la poitrine entre les coins des aisselles.
- ShpII - La largeur du devant sur les points saillants de la poitrine (mesure de contrôle). Il est mesuré horizontalement entre les angles des aisselles aux points les plus saillants de la poitrine (23,5).
- Dr - Longueur des manches. Du sommet de l'épaule à la longueur souhaitée (58).
- Drl - La longueur de la manche jusqu'au coude. Du sommet de l'épaule jusqu'au coude (34).
- Ohr - circonférence de la main. Mesurer le bras le plus complet (34).
- Oz - Tour de poignet. Sangle de la main, en tenant compte de l'os (19).
Indemnités: En coupe ample à la mesure de la deuxième demi-circonférence de la poitrine CrII, ajoutez 4-5 cm, à la mesure de la demi-circonférence des hanches Sb - 3 cm et à la mesure de la demi-circonférence de la taille St - 2 cm.
Modèles de construction:
Se rendre à la construction.
Nous dessinons un angle droit dans le coin droit avec le sommet au point R.A partir du point P, nous reportons la longueur du produitDee(100 cm) et définir le point N.
À partir du point P, on reporte la profondeur de l’emmanchure (Gpr= 21 cm) et dénote le point G.
A partir du point P, on reporte la longueur du dos à la taille (Dst = 39 cm) et marquer le pointT.
De pointT bas habituellement retardé 18 - 19 cm. Nous prendrons la moyenne 18,5 voir et mettre un pointB.
À partir de points G, T, B et H à gauche, à angle droit, nous traçons des lignes horizontales: les profondeurs des emmanchures, la taille, les hanches et le bas.
À partir du point Г à gauche, nous reportons la largeur du dosCc (19.5) plus0,5 cm (augmentation en ajustement libre) et mettre un pointG1 :
GG1 = Шс + 0,5 = 19,5 + 0,5 = 20 voir

De pointG1 à gauche on reporte la moitié de la largeur de l'emmanchure Shpr (12.5) moins 1 voir et marquer le pointG2:
G1 G2 = Spdr: 2 - 1 = (12,5: 2) -1 = 5,25 voir
De point G2 tracez une ligne droite vers le bas et à son intersection avec la taille et les hanches, mettez un pointT2 et B1.
De pointP décaler à gauche 1/3 demi cou N (19cm) plus 1 cm et déterminer le pointP1:
PP1 = 1/3 N +1 = 19:3+1=7,3voir

A partir du point P1, on reporte la différence entre les mesures de hauteur VR (41cm)et la longueur du dos à la taille Dst (39cm) et marquer le pointP2:
P1P2 = Bp - Dst = 41 - 39 = 2 cm.
Points P et P2 connectez une courbe lisse concave. Nous obtenons la ligne du cou du dos (ligne de la pousse).
De pointT1 à la hausse nous reportons la mesure de la hauteur du dos de l'épaule Force aérienne (36 cm) et dessine un pointP.

De pointG1 mettre de côté 1/3 distance de coupe G1P et dessine t.Oh. Boussole du pointOh dessiner à gauche par le pointP un arc.
A partir du point P2 à partir du centre, avec un rayon égal à 15 cm (longueur mesurée aux épaules Dp (13cm) plus2cm tuck), tracez un arc de cercle à l'intersection avec l'arc précédemment construit. À l'intersection de deux arcs, mettez un pointP1.
P2P1= 13 + 2 = 15cm.
Points P2 etP1 se connecter.
Relier les points P1, O et g2 une courbe lisse, comme le montre la figure 12, nous terminons la construction de l’emmanchure du dos.
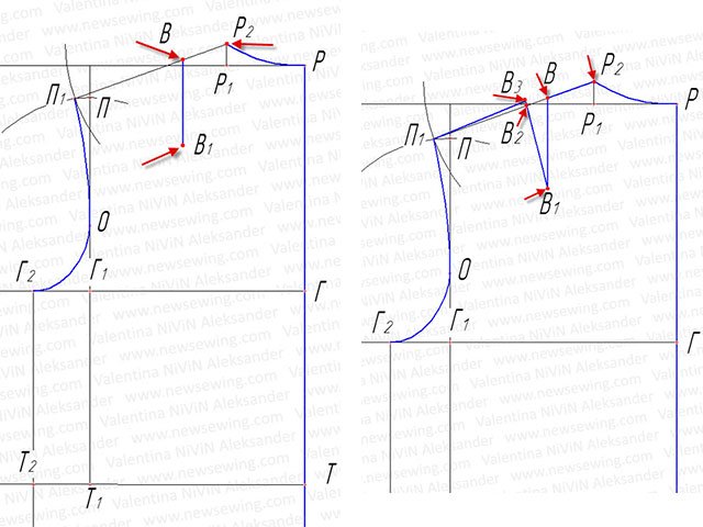
De pointP2 laissé sur la ligne P2P1 réserver 1/3 de la mesure de la longueur des épaules Dp et fixer T.V;
P2B = 13: 3 = 4,3 cm.
À partir du point B, on trace une ligne verticale de longueur 8 cm et mettre le point B1.
De pointDans à gauche le long de la ligne P2P1remettre à plus tard 2 voir et mettre un pointB2. De point B1 par le pointB2 tracer une ligne de longueur 8 cm et mettre un pointB3. Points B3P1 connecter avec une ligne droite et obtenir la ligne de dos.

De pointT2 mettre à droite 2 voir et mettre un pointT3. Points T3 et G2 se connecter.
De pointT3 mettre de côté 1 voir et mettre un pointT4, points T4 et T connectez une courbe lisse.
De pointB1 décaler à gauche1/2 la différence entre les mesures de hanches C6 avec une augmentation de l'ajustement libre (60 + 3 = 63 cm) et la seconde moitié de la poitrine CgII avec une augmentation de l'ajustement libre (54 + 4 = 58cm) et mettre un pointB2:
B1, B2 = (63-58): 2 = 2,5 cm. Points G4 et B2 connectez une courbe lisse.
De pointN à gauche, nous reportons une valeur égale à la largeur du dos le long des hanches (voir dessin, cette distance) BB2) plus 2-3 cm et mettre un pointH1. Points H1 et B2 connectez une ligne droite. De point H1 mettre de côté 1cm et mettre un pointH2. Points H2 et Nconnectez une courbe lisse.
Distance GG1 diviser en deux et mettre un pointG3. De point G3 tracer une ligne verticale vers le bas et à son intersection avec la ligne de taille, nous mettons un pointT5, avec une ligne de hanches - un pointB3. De pointG3 pose le 4 cm et mettre un pointB4 mais du point B3 en haut - 3 cm et mettre un pointB4.
De pointT5 à droite et à gauche sur la ligne de taille, nous reportons 1 cm et mettre un pointT6 et T7que nous connectons avec des points B4 et B4.
Ligne de fond HH1 continuer à gauche. De point H1 mettre de côté environ 45-50 cm et mettre un pointH3. De t.H3 dessinez une ligne verticale. À partir de points G2, T2, B2à gauche, on trace des lignes horizontales à l'intersection avec la verticale. Les points d'intersection avec la ligne verticale sont désignés respectivement G4, T8, B5.
De pointG4 à droite, nous reportons la mesure de la demi-circonférence de la poitrine deuxième CrII avec une augmentation de l'ajustement libre (54 + 4) moins la largeur du dos avec une augmentation (selon le dessin GG1 = 20 cm) et moins la largeur de l'emmanchure (mesure prise 12,5 cm) et tirer un pointG5:
G4G5 = 58-20-12,5 = 25,5 cm.
Point de passage G5 tracez une ligne verticale vers le bas, à l'intersection de laquelle vous mettez un point T9.
De pointG5 à droite on reporte la moitié de la largeur de l'emmanchureSpd (12.5) plus 1 cm et marquer le pointG6:
G5G6 = 12,5: 2 + 1 = 7,25 cm.
De pointG6 tracer une ligne verticale vers le bas et à l'intersection de celle-ci avec des lignes horizontales mettre un pointT10 et point B6.
De pointT8 reporter la mesure de la longueur du devant à la taille Dpt (44 cm) et dénote le pointP3.
De pointP3 tracer une ligne horizontale à droite et la repousser 1/3 demi cou NW! (19cm) plus 1 cm et mis t.P4:
P3P4= 19: 3 + 1 = 7,3 cm.
De pointP3 pose le 1/3 demi cou N (19cm) plus 1,5 cm et mettre un pointP5:
P3P5 = 19: 3 + 1,5 = 7,8 cm.
PointsP4 et P5 on connecte la ligne, on la divise en deux et le milieu indique le pointO1. De pointO1 mettre de côté à angle droit 1,25 cm et dénote le point02. Points P5, 02 et P4nous relions une courbe lisse et obtenons le décolleté de la tablette.
De pointG4 à droite on reporte la mesure prise du centre de la poitrine Tsg (11 cm) et mettre un pointG7. PointsP4 et G7 se connecter.
De pointP4 bas prolonger la ligne R4G7reporter la mesure de la hauteur de la poitrine Vg (29,5 cm)et marquer le pointTs.
Sur la même ligne depuis le pointTs mettre de côté 2,5 cm et mettre un pointC1. À ce stade, la poitrine se termine.
De pointTs à la hausse, nous reportons la mesure de la taille de la solution de remplissage VRV (12 cm) et mettre un pointU. De pointTs, à partir du centre, à travers le pointÀ dessinez un arc à droite.

De pointÀ sur l’arc conduit, on reporte la différence entre les mesures de la demi-circonférence du deuxième sein CgII (54cm) et la moitié de la poitrine en premier CgI (49cm) et mettre un pointU1.
YU1 = CrII - CrI = 54 - 49 = 5cm Cette construction peut être faite en utilisant une boussole.
De pointÀ, à partir du centre, rayon 5cm dessinez un arc à l'intersection avec l'arc précédemment construit. Désigner l'intersection U1.
Point de passageC1 et le point U1 tracez une ligne en la continuant vers le haut d'un montant égal à la distance Ts1R4 et mettre un pointP2:
Ts1P2 = Ts1R4.
En ligne droite T9G5le prolonger du pointT9 reporter la hauteur d'épaule mesurée Piste d'atterrissage (35 cm) et mettre les pointsP3.

De pointG5 mettre de côté 1/4 les distances G5P3 (4,5 cm) et mettre un point03. Point 03 —point de contrôle. Lorsque vous insérez une manche dans une emmanchure, elle se connecte avec une marque sur la manche aux pointsOh
De point03 boussole à travers le point P3 dessinez un arc à droite.
De pointP2, à partir du centre, avec un rayon égal à la mesure de la longueur de l'épaule Dpl, (dans notre cas 13cm) dessiner un arc à l'intersection avec l'arc précédemment construit et mettre un pointP4. Points P4, 03 et
G6 nous connectons une courbe lisse, complétant ainsi la construction de l'emmanchure avant.
De pointT10 décaler à gauche 1,5 cm et mettre un pointT11. PointG6 et T11 connectez la ligne.
De pointT11 mettre de côté 1 cm et mettre un pointT12. PointsT8 et T12 connectez une courbe lisse.

De pointB6 mettre à droite 1/2 la différence entre les mesures de hanches Sam avec une augmentation de l'ajustement libre (60 + 3 = 63 cm) et la seconde moitié de la poitrine CgII avec une augmentation de l'ajustement libre (54 + 4 = 58cm) et mettre un pointB7:
B6 B7 = (63-58): 2 = 2,5 cm.
TrchkuT12 et B7 connectez une courbe lisse.
De pointH3 à droite, nous reportons une valeur égale à la largeur du devant des hanches (voir dessin, cette distance) B5B7), plus 2-3 cm et mettre un pointH4. Points B7 et N4connectez une ligne droite. De pointH4 mettre de côté 1 cm et mettre un pointH5.

De pointH3 pose le 2 cm et mettre un pointH6. PointsN6 etN5 connectez une courbe lisse.
DistanceG7G5 diviser en deux et mettre t.G8. De point G8 tracez une ligne verticale vers le bas et mettez des points à l'intersection avec la taille et les hanchesT13 et B8. De pointG8 pose le 6 cmet du pointB8 up - 2 cm et mettre les pointsB5 et B9.

De pointT13 gauche et droite, rebuté 1,25 cm et mettre un pointT14 et T15que nous nous connectons avec notreB5 et B9.
Construction terminée.
Modèles prêts à l'emploi pour différents modèles (styles complets)
Si vous aimez coudre et que vous avez déjà peu d'expérience en couture, rappelez-vous la règle principale d'une couturière expérimentée: «mesurez sept fois, coupez une fois». Il est très important de faire très attention aux calculs, en particulier lorsqu'il s'agit de femmes en surpoids.
Modèle de robe de soirée
Coudre des blouses, des jupes et des pantalons est un processus très compliqué et long, mais créer une belle robe de soirée nécessite un peu plus d'effort et de patience.
Les robes longues pour la célébration peuvent être faites de guipure et de mousseline. Les dames de petite taille peuvent combiner ces tissus et créer une ligne verticale ajourée à l'avant, ce qui rendra visuellement plus grand et plus mince.
Modèle d'une robe d'été simple pour les filles obèses
Pour l'été, les modèles simples taille basse créés avec une couture sont parfaits. La mode de 2024 est gratuite dans le sol de fleurs chintz à la mode et je souhaite vous présenter une belle robe élégante pour les journées ensoleillées.
Pour le modèle en tricot
Pour l'hiver, vous pouvez choisir des modèles de laine et de fils combinés. La saison automne-hiver comprend un grand nombre de modèles simples qui peuvent facilement passer pour des vêtements à la maison.
Nouveau en 2024 - «cas» universel
Nous cousons la tenue en tissu noir (ou en cage) à la silhouette directe avec une manche détachable (pouvant être convertie en raglan), ce qui est idéal pour une dame jeune et âgée.
Option 1
Robe d'été drapée
Vous pouvez rapidement et facilement coudre une robe d'été avec des embrayages (mais si vous avez peu de tissu, vous pouvez vous arrêter sur le style trapézoïdal), ce qui fera bien avec une dame au ventre.
Pour ce faire, il vous suffit de coudre un beau corsage et de vous armer d’un énorme morceau de tissu que vous composerez joliment. Vous obtiendrez une robe d'été à taille haute, qui dissimulera joliment tous les défauts de la silhouette.














































[...] Pour plus de détails sur la confection d'une tenue pour femme obèse, voir notre article «Modèles de belles robes pour femme obèse». [...]